E-508 PICA Piezo Amplifier Module
High-Power Module with 1100 V Voltage Range, for the E-500 Piezo Controller System
- Peak power up to 400 W
- Output voltage range 3 to 1100 V, -3 to -1100 V or bipolar
- Module for E-500 piezo controller rack
- E-508.OE for switching applications
- Position control (optional)
- Interface / display modules (optional)
The E-508 high-power amplifier for PICA high-voltage piezo actuators (HVPZT) is a plug-in module for the E-500 piezo controller system. This low-noise amplifier can output and sink a peak current of 50 mA (E-508.OE: up to 400 mA) in an 1100 V range. E-508 systems offer precision control of piezo actuators and piezo positioning systems both in closed-loop and voltage-controlled operation.
Modular design for flexibility: Optional servo controller upgrade
The E-500 system is highly adaptable due to its modular design. Up to three E-508 modules can be installed in one E-500 chassis. The E-500/E-501 chassis allows an easy installation of the optional E-509 sensor/servo controller module for closed-loop operation. The output voltage of the E-508 is then set by the servo controller. A positioning accuracy and repeatability in the nanometer range is therefore possible depending on the piezo mechanics and the sensor type.
Voltage controlled piezo positioning
In open-loop operation, the output voltage is determined either exactly by manually using a 10-turn DC-offset potentiometer or directly by using an analog signal. Open-loop operation is ideal for applications where fast response times and very high resolutions are essential at maximum bandwidth. The specification or position feedback in absolute values is either not significant or is done by an external servo loop.
OEM version for fast switching applications
The E-508.OE high-current version has been especially designed for fast switching applications. It can output a peak current of 400 mA for 5 ms. The E-508.OE is directly controlled by an analog signal.
Specifications
Datasheet E-508
Specifications
Amplifier | E-508.00 | E-508.OE |
|---|---|---|
Output voltage | 3 to +1100 V (default) Adjustable: -260 to +780 V -550 to +550 V +260 to -780 V -3 to -1100 V | 3 to 1100 V (default) Optional: -260 to +780 V -550 to +550 V +260 to -780 V -3 to -1100 V |
Amplifier channels | 1 | 1 |
Average output power | 13 W | 13 W |
Peak power, < 5 ms | 50 W | 400 W |
Average output current | 12 mA | 12 mA |
Peak current, <5 ms | 50 mA | 400 mA |
Bandwidth, small signal | 6 kHz | 10 kHz |
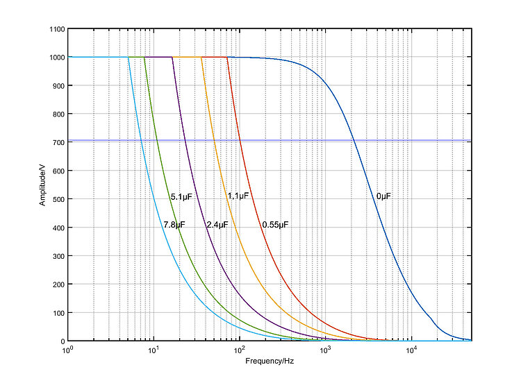
Amplifier bandwidth, large signal | 50 Hz (200 nF) | 50 Hz (200 nF) |
Ripple, noise, 0 to 100 kHz | 5 mVrms 50 mVpp(100 nF) | 20 mVrms 200 mVpp(100 nF) |
Current limitation | Short-circuit proof | Short-circuit proof |
Voltage gain | +100 ±1, -100 ±1 (selectable) | +100 ±1, -100 ±1 (selectable) |
Control input voltage | Without servo: ±1/100 of selected output voltage range With servo: 0 to 10 V | Without servo: ±1/100 of selected output voltage range With servo: 0 to 10 V |
Input impedance | 100 kΩ | 100 kΩ |
Downloads
Datasheet
Datasheet E-508
Documentation
Short Instructions PZ300
Housed Analog Piezo Electronics E-4xx, E-5xx, E-6xx, E-8xx
User Manual PZ62
E-500 / E-501 Series Modular Piezo Controller: Chassis with power supply, amplifier modules (E-503, E-504, E-505, E-506, E-508), sensor and servo-control module (E-509), display and interface modules (E-515, E-517).
Quote / Order
Ask for a free quote on quantities required, prices, and lead times or describe your desired modification.
Comment obtenir une offre de prix
Contactez un ingénieur!
Quickly receive an answer to your question by email or phone from a local PI sales engineer.

















